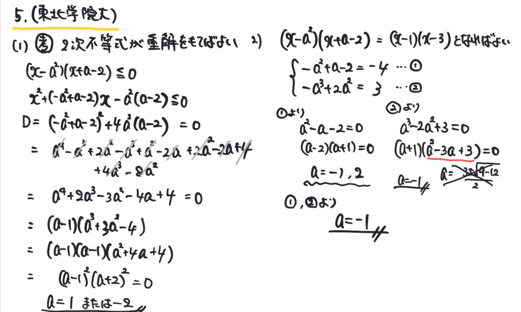
問題
\(a\)を定数とし、2次不等式\((x-a^2)(x+a-2)\)・・・①を考える。
- 1) ①を満たす\(x\)がただ1つ存在するように\(a\)の値を定めよ
- 2) ①の解\(1≦x≦3\)となるように\(a\)の値を定めよ
- 3) \(1≦x≦3\)ならば常に①が成り立つような\(a\)の値の範囲を求めよ
この問題を解くのに必要な前提知識
- 2次不等式の基礎
- 3次方程式のグラフ
- 組立除法など3次方程式の解の求め方
問題解説


感想と気づいたこと
2)の問題の捉え方が難しい。\(1≦x≦3\)の範囲に解が存在する条件かと思った。3)では、3次方程式のグラフや3次方程式で重解が発生したときのグラフがわからないとうまくグラフが書けない


コメント