問題
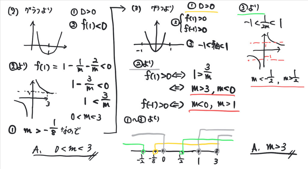
2次方程式\(mx^2-x-2=0\)の2つの実数解が、それぞれ以下のようになるための\(m\)の条件を求めよ
- 2つの解がともに\(-1\)より大きい
- 1つの解は1より大きく、他の解は1より小さい
- 2つの解の絶対値がともに1より小さい
この問題を解くのに必要な前提知識
- 判別式
- 反比例のグラフ
- 2次関数のグラフと軸の関係
問題解説


感想と気づいたこと
\(mx^2-x-2=0\)と方程式になっているので、mが0でなければ、mで割って、下に凸に固定したのがよかった。分数式は簡単に割るんではなくて、反比例のグラフを考えると確実だと思った。


コメント