問題
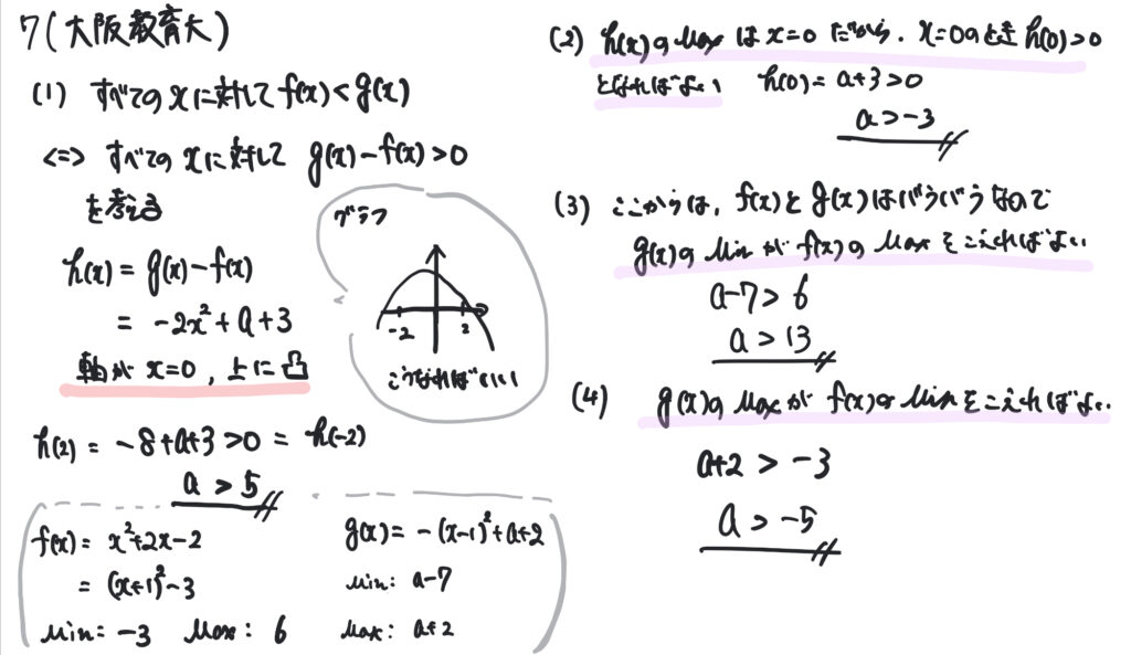
\(-2≦x≦2\)の範囲で、関数\(f(x)=x^2+2x-2,g(x)=-x^2+2x+a+1\)について次の命題が成り立つような\(a\)の値の範囲をそれぞれ求めよ。
この問題を解くのに必要な前提知識
- 2次関数の軸とグラフの関係
- 2次関数の最大最小
問題解説

感想と気づいたこと
同じ\(f(x),g(x)の同じx\)に対して考えるときは合成関数を考えてもいいけど違う\(x\)について考えるときは、それぞれの最大最小を考えて、最小<最大,最大<最小を使うと良い
問題解説\(-2≦x≦2\)の範囲で、関数\(f(x)=x^2+2x-2,g(x)=-x^2+2x+a+1\)について次の命題が成り立つような\(a\)の値の範囲をそれぞれ求めよ。

同じ\(f(x),g(x)の同じx\)に対して考えるときは合成関数を考えてもいいけど違う\(x\)について考えるときは、それぞれの最大最小を考えて、最小<最大,最大<最小を使うと良い
コメント