問題
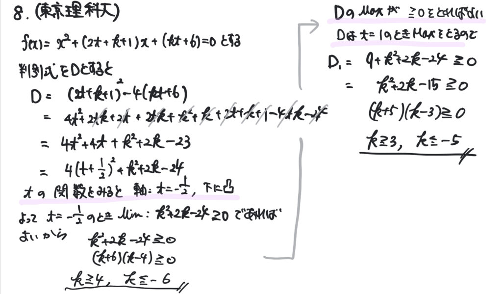
\(x\)についての2次方程式\(x^2+(2t+k+1)x+(kt+6)=0\)について考える、この2次方程式が、\(-1≦t≦1\)となるすべての\(t\)に対して実数解をもつための\(k\)の値の範囲を求めよ。また、この2次方程式が(-1≦t≦1\)となる少なくとも1つの\(t\)に対して実数解をもつための\(k\)の値の範囲を求めよ。
問題を解くのに必要な前提知識
- 2次方程式の最大最小
- 判別式
- 2次方程式の軸とグラフの関係
問題解説

感想と気づいたこと
\(t\)の限られた範囲の最大最小に注意して答えを求めていけばよい。
グラフが下に凸のとき、「すべての〜」であれば最小値が0以上、「ある〜」であれば、最大値が0以上ならいい上に凸ならその逆


コメント