問題
\(a,b\)は実数とする。以下のア〜エに入る正しい答えを(A)~(D)から選べ
- (A)必要条件であるが、十分条件ではない
- (B)十分条件であるが、必要条件ではない
- (C)必要十分条件である
- (D)必要条件でも充分条件でもない
(1) \(a^2>16\)であることは、\(a>6\)であるための・・・ア
(2) \(a>b\)であることは、\(a^3>b^3\)であるための・・・イ
(3) \(a<0またはb<0\)であることは、\(ab<0\)であることの・・・ウ
(4) \(aとb\)がともに有理数であることは、\(a+bとab\)がともに有理数であるための・・・エ
(5) \(aとb\)がともに無理数であることは、\(a+bとab\)がともに無理数であるための・・・オ
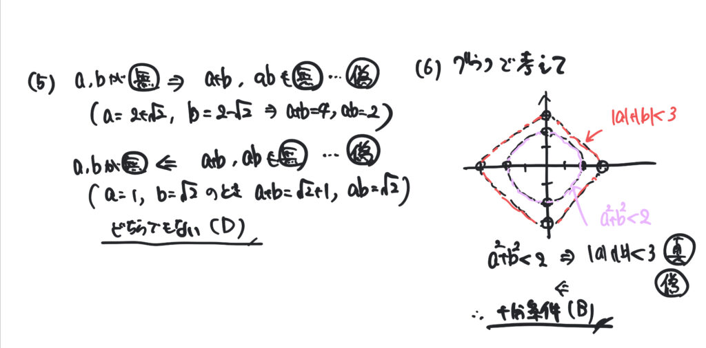
(6) \(a^2+b^2<2\)であることは、\(|a|+|b|<3\)であるための・・・カ
この問題を解くのに必要な前提知識
- 十分条件と必要条件と必要十分条件の定義
- 命題とその対偶の知識
- 有理数と無理数の知識
- 絶対値と円のグラフと方程式
問題解説


感想と気づいたこと
- AならばBが真・・・十分条件
- BならばAが真・・・必要条件
- またはのときは、すべてになるように対偶を使うとよい


コメント