問題
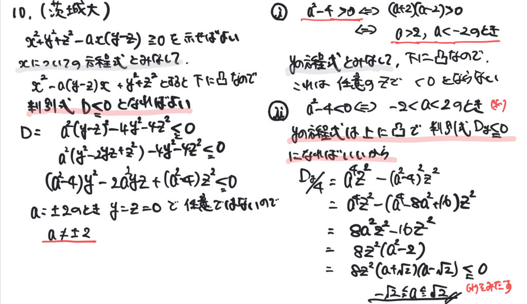
不等式\(x^2+y^2+z^2≧ax(y-z)\)がすべての実数x,y,zに対して成り立つように実数\(a\)の値の範囲を定めよ
この問題を解くのに必要な前提知識
- 判別式と2次関数のグラフ
問題解説

感想と気づいたこと
文字が3つある2次関数で最初何をしていいかわからなかったが、\(x\)の方程式→\(y\)の方程式と考えていって、その他の文字は係数として扱えばいい。
問題解説不等式\(x^2+y^2+z^2≧ax(y-z)\)がすべての実数x,y,zに対して成り立つように実数\(a\)の値の範囲を定めよ

文字が3つある2次関数で最初何をしていいかわからなかったが、\(x\)の方程式→\(y\)の方程式と考えていって、その他の文字は係数として扱えばいい。
コメント