理系数学の良問プラチカ 問題解説47 (名古屋大)

プラチカ

問題

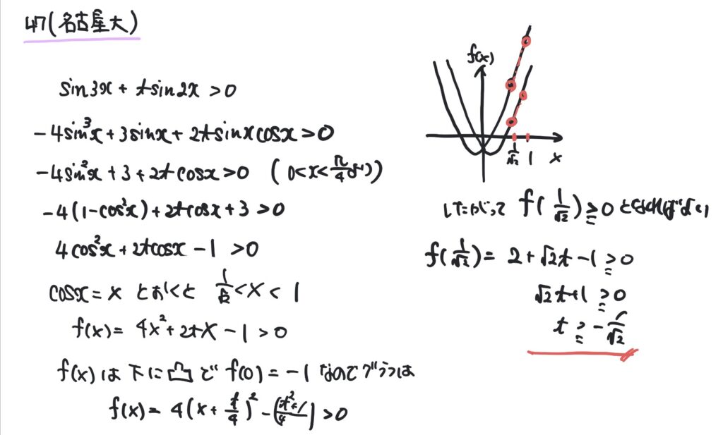
\(0<x<\frac{\pi}{4}\)を満たすすべての\(x\)に対し、不等式

\(sin3x+tsin2x>0\)

が成り立っているとする。このとき\(t\)の値の範囲を求めよ

この問題を解くのに必要な前提知識

  • 2次関数の最大最小

問題解説

Screenshot

感想と気づいたこと

軸の位置がよくわからなかったが、+の場合でも\(-\)の場合でも\(x=\frac{1}{\sqrt{2}}\)のとき最小値をとる

コメント

タイトルとURLをコピーしました