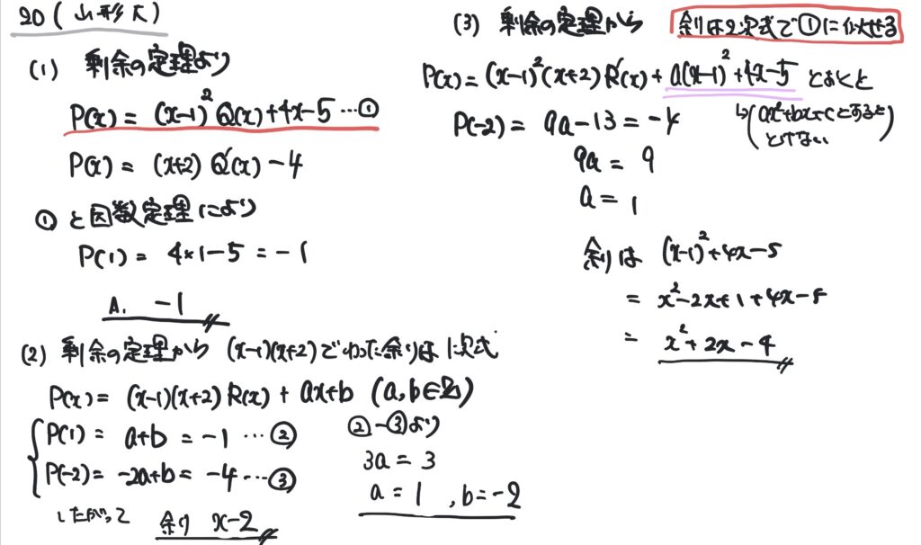
問題
整式\(P(x)\)を\((x-1)^2\)で割ったときの余りが\(4x-5\)で\(x+2\)で割ったときの余りが\(-4\)である。
- (1) \(P(x)\)を\(x-1\)で割ったときの余りを求めよ
- (2) \(P(x)\)を\((x-1)(x+2)\)で割ったときの余りを求めよ
- (3) \(P(x)\)を\((x-1)^2(x+2)\)で割ったときの余りを求めよ
この問題を解くのに必要な前提知識
- 剰余の定理
- 因数定理
問題解説

感想と気づいたこと
余りは、割った数の次数より小さくなるが、余りが2次式だと、\(ax^2+bx+c\)があまりになり、未知数が3つでてきてしまう。そこで\(a(x-1)^2+4x-5\)というあまりにすれば\(1入れたときも-2\)入れたときも辻褄があう


コメント