理系数学の良問プラチカ 問題解説28 (東京理科大)

プラチカ

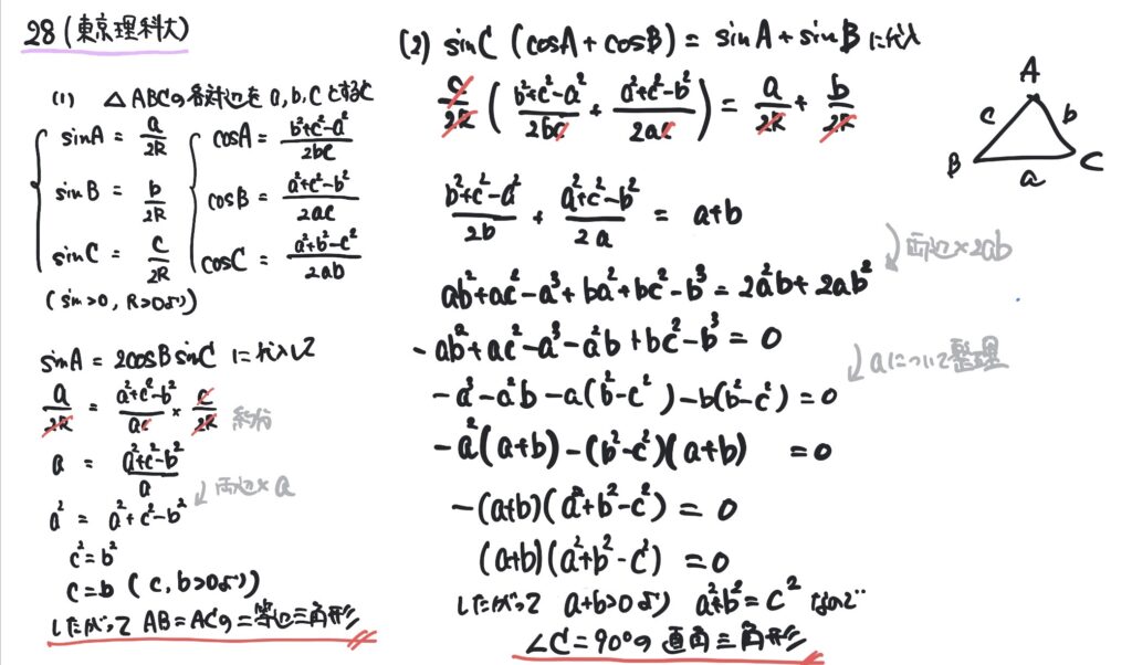
問題

次の等式を満たす三角形ABCの形状をいえ
(1)\(sinA=2cosB sinC\)
(2)\(sinC(cosA+cosB)=sinA + sinB\)

この問題を解くのに必要な前提知識

  • 正弦定理
  • 余弦定理

問題解説

Screenshot

感想と気づいたこと

とりあえず、正弦定理と余弦定理を使って各式を表してみた。その後、辺の長さだけの式になったら\(a\)について整理したらうまくいった

コメント

タイトルとURLをコピーしました