問題
自然数\(n\)について以下の問いに答えよ
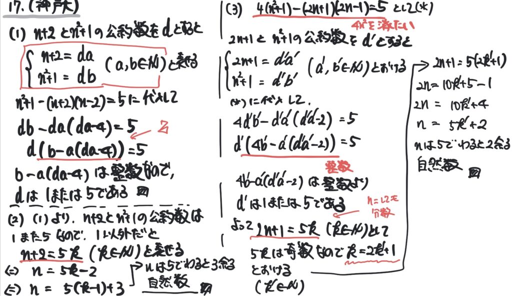
- 1)恒等式\((n^2+1)-(n+2)(n-2)=5\)を利用して、\(n+2とn^2+1\)の公約数は1または5に限ることを示せ
- 2) (1)を用いて、\(n+2とn^2+1\)が1以外に公約数を持つような自然数\(n\)をすべて求めよ
- 3) (1)(2)を参考にして、\(2n+1とn^2+1\)が1以外に公約数を持つような自然数\(n\)をすべて求めよ
この問題を解くのに必要な前提知識
- 約数の知識
- 互いに素
- 奇数
- 余りについて
問題解説

感想と気づいたこと
5は素数なので、2つの数の積で表せば、その数は、1または5に限られる。
(1)の式をそのままは適応できないが、\(4(n^2+1)-(2n+1)(2n-1)=5\)の式は、最初の\(4n^2\)を消去することを考えると自然に出てくる。


コメント